Синтез и свойства пуш-пульных 1н-бензо[f]хроменов

Мұқаба
  • Авторлар: 1
  • Мекемелер:
    1. Самарский государственный технический университет
  • Шығарылым: Том 1 (2024)
  • Беттер: 240-241
  • Бөлім: ЧАСТЬ I. Химия
  • URL: https://www.journal-ta.ru/osnk-sr2024/article/view/632854
  • ID: 632854

Дәйексөз келтіру

Толық мәтін

Аннотация

Обоснование. Большой интерес представляют исследования, направленные на разработку новых путей синтеза гетероциклических соединений, содержащих фармакофорные фрагменты в своей структуре, а также на их функционализацию. 4Н-хромены и их бензконденсированные производные являются привелигерованными структурными мотивами, поскольку обладают широким спектром биологической активности и их фрагмент входит в структуру большого числа природных соединений растительного происхождения.

Цель — разработка новых способов получения высокополяризованных 1H-бензо[f]хроменов, в создании на основе электронодефицитных хроменов новых подходов к синтезу гетероциклических соединений.

Методы. Подтверждение структуры полученных соединений производилось с помощью ИК- и ЯМР-спектроскопии (ЯМР 1Н, 13С, DEPT-135), а также с помощью рентгеноструктурного анализа.

Результаты. В продолжении разработки новых способов построения хроменов был предложен новый подход к получению 3-метил-2-нитро-1Н-бензо[f]хроменов, основанный на реакции метил-2-нитровинилморфолина с основаниями Манниха. Продемонстрировано, что в реакцию способны вступать основания Манниха как из α-, так и β-нафтола, в том числе замещенные по метиленовому мостику (рис. 1).

 

Рис. 1. Схема синтеза нитрозамещенных хроменов

 

Предполагая, что полученные 4Н-хромены обладают повышенной СН-кислотностью, было предложено ввести их в реакцию с диметилацеталем ДМФА. В результате был синтезирован ряд α[2(диметиламино)винил]-β-нитрозамещенных бензохроменов с выходами 73–90 %, как незамещенных по метиленовому мостику, так и содержащих арильный заместитель (рис. 2).

 

Рис. 2. Схема синтеза α[2(диметиламино)винил]-β-нитрозамещенных хроменов

 

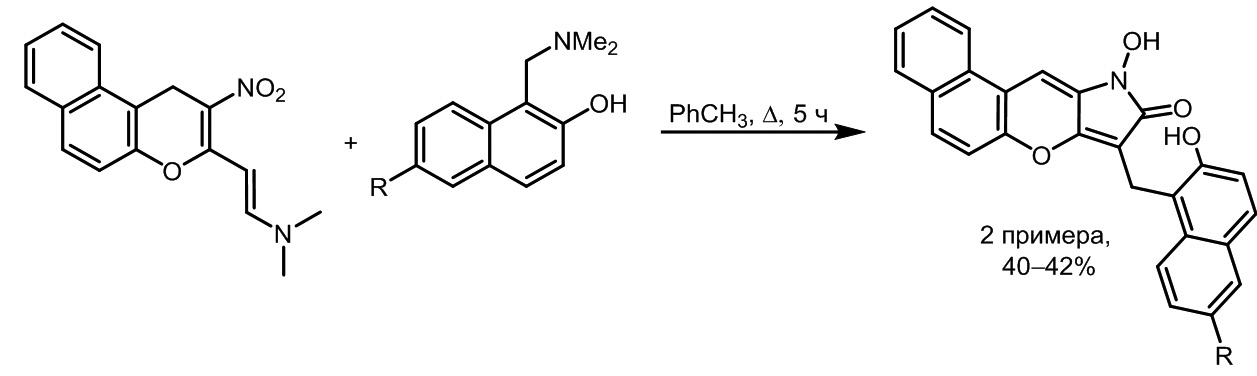
Далее нами была исследована способность α-[2-(диметиламино)винил]-β-нитробензохроменов выступать в качестве диенофилов в реакциях с о-метиленхинонами (рис. 3). Однако в реакции с основанием Манниха вместо ожидаемых продуктов реакции Дильса–Альдера — соответствующих 2’-нитро-1H,1’H-2,3’-бибензо[f]хроменов — были выделены 10-гидроксибензо[5,6]хромено[3,2-b]пиррол-9(10Н)-оны.

 

Рис. 3. Схема синтеза 10-гидроксибензо[5,6]хромено[3,2-b]пиррол-9(10Н)-онов

 

Выводы. Установлено, что взаимодействие 3-метил-2-нитро-1Н-бензо[f]хроменов с диметилацеталем ДМФА в толуоле при кипячении приводит к получению (E)-N,N-диметил-2-(2-нитро-1Н-бензо[f]хромен-3-ил)этен-1-аминов. Выяснено, что взаимодействие α-[2-(диметиламино)винил]-β-нитробензохроменов с о-метиленхинонами, генерируемыми in situ, приводит к образованию 10-гидроксибензо[5,6]хромено[3,2-b]пиррол-9(10Н)-онов.

Толық мәтін

Обоснование. Большой интерес представляют исследования, направленные на разработку новых путей синтеза гетероциклических соединений, содержащих фармакофорные фрагменты в своей структуре, а также на их функционализацию. 4Н-хромены и их бензконденсированные производные являются привелигерованными структурными мотивами, поскольку обладают широким спектром биологической активности и их фрагмент входит в структуру большого числа природных соединений растительного происхождения.

Цель — разработка новых способов получения высокополяризованных 1H-бензо[f]хроменов, в создании на основе электронодефицитных хроменов новых подходов к синтезу гетероциклических соединений.

Методы. Подтверждение структуры полученных соединений производилось с помощью ИК- и ЯМР-спектроскопии (ЯМР 1Н, 13С, DEPT-135), а также с помощью рентгеноструктурного анализа.

Результаты. В продолжении разработки новых способов построения хроменов был предложен новый подход к получению 3-метил-2-нитро-1Н-бензо[f]хроменов, основанный на реакции метил-2-нитровинилморфолина с основаниями Манниха. Продемонстрировано, что в реакцию способны вступать основания Манниха как из α-, так и β-нафтола, в том числе замещенные по метиленовому мостику (рис. 1).

 

Рис. 1. Схема синтеза нитрозамещенных хроменов

 

Предполагая, что полученные 4Н-хромены обладают повышенной СН-кислотностью, было предложено ввести их в реакцию с диметилацеталем ДМФА. В результате был синтезирован ряд α[2(диметиламино)винил]-β-нитрозамещенных бензохроменов с выходами 73–90 %, как незамещенных по метиленовому мостику, так и содержащих арильный заместитель (рис. 2).

 

Рис. 2. Схема синтеза α[2(диметиламино)винил]-β-нитрозамещенных хроменов

 

Далее нами была исследована способность α-[2-(диметиламино)винил]-β-нитробензохроменов выступать в качестве диенофилов в реакциях с о-метиленхинонами (рис. 3). Однако в реакции с основанием Манниха вместо ожидаемых продуктов реакции Дильса–Альдера — соответствующих 2’-нитро-1H,1’H-2,3’-бибензо[f]хроменов — были выделены 10-гидроксибензо[5, 6]хромено[3,2-b]пиррол-9(10Н)-оны.

 

Рис. 3. Схема синтеза 10-гидроксибензо[5, 6]хромено[3,2-b]пиррол-9(10Н)-онов

 

Выводы. Установлено, что взаимодействие 3-метил-2-нитро-1Н-бензо[f]хроменов с диметилацеталем ДМФА в толуоле при кипячении приводит к получению (E)-N,N-диметил-2-(2-нитро-1Н-бензо[f]хромен-3-ил)этен-1-аминов. Выяснено, что взаимодействие α-[2-(диметиламино)винил]-β-нитробензохроменов с о-метиленхинонами, генерируемыми in situ, приводит к образованию 10-гидроксибензо[5, 6]хромено[3,2-b]пиррол-9(10Н)-онов.

×

Авторлар туралы

Самарский государственный технический университет

Хат алмасуға жауапты Автор.
Email: yushkova_as@mail.ru

студентка, группа 5-ХТ-5, лаборант НИС кафедры «Органическая химия», химико-технологический факультет

Ресей, Самара

Қосымша файлдар

Қосымша файлдар
Әрекет
1. JATS XML
2. Рис. 1. Схема синтеза нитрозамещенных хроменов

Жүктеу (35KB)
3. Рис. 2. Схема синтеза α[2(диметиламино)винил]-β-нитрозамещенных хроменов

Жүктеу (34KB)
4. Рис. 3. Схема синтеза 10-гидроксибензо[5,6]хромено[3,2-b]пиррол-9(10Н)-онов

Жүктеу (39KB)

© Юшкова А.С., 2024

Creative Commons License
Бұл мақала лицензия бойынша қолжетімді Creative Commons Attribution 4.0 International License.